![]() |
Бойко Елена Сергеевна, учитель математики ГУО «Средняя школа №12 г.Слуцка» |
Класс: 7
Место урока в теме: 3 урок из 4
Тип урока: урок изучения нового материала
Цель: совершенствование у учащихся умений и навыков применения формулы разности квадратов для упрощения вычислений и алгебраических преобразований
Задачи:
образовательная: отработать умения и навыки правильного применения формулы произведения суммы и разности двух выражений в тренировочных упражнениях; научить видеть, что формулы произведения суммы и разности двух выражений являются тождественными;
развивающая: способствовать развитию вычислительных навыков, наглядно-образного и абстрактно-логического мышления; памяти и внимания; умения анализировать, сравнивать, делать выводы;
воспитательная: создать условия для формирования интереса учащихся к учебному предмету «Математика», понимания его практической значимости, в том числе в профессиональном самоопределении, при подготовке к предметным олимпиадам, воспитывая при этом уважение к правилам и законам, в том числе и математическим.
Методы обучения:
- Репродуктивный
- Проблемный
- Игровой
- Визуализации
Средства обучения:
- учебник для 7 класса;
- раздаточный материал (карточки);
- наглядность.
Формы работы:
- фронтальная;
- парная;
- индивидуальная.
Ход урока
- Организационно-мотивационный момент
Цель этапа: актуализация опорных знаний и мотивация учебной деятельности, формулировка проблемного вопроса.
|
Действия учителя |
Действия учащихся |
|
Учитель: Всем здравствуйте! Сегодня мы продолжим изучать тему «Формулы сокращенного умножения: произведение суммы и разности двух выражений». Для начала проверим, как вы выполнили домашнюю работу. Для этого обменяйтесь друг с другом тетрадями и с помощью карандаша сделаем взаимопроверку. Я зачитываю ответ, если верно- ставим «+», неверно – «-» |
Учащиеся приветствуют учителя, выполняют его задания. |
|
|
|
|
Есть ли вопросы по домашнему заданию? Запишите дату, классная работа.
Вспомним и составим формулу, изученную ранее. Посмотрите внимательно на облако слов. (Приложение 1) С какой профессией связаны все эти слова? А какой самый известный сыщик? Итак, сегодня вы все приняты в детективное агентство имени Шерлока Холмса. |
Учащиеся записывают дату, «Классная работа». Составляют на магнитной доске формулу.
Сыщик, детектив
Шерлок Холмс |
|
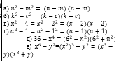
У каждого на партах лежит личное дело, где собраны материалы дел, которые мы будем расследовать.(Приложение 2) Расследование 1: "Опознание преступника" Ваша задача: Определить, является ли выражение разностью квадратов и поднять соответствующую карточку: ✅ ДА / ❌ НЕТ На доске записаны выражения: 1) x² - 25 → ✅ (x² - 5²) 2) a² + b² → ❌ (сумма, а не разность) 3) (3m)² - n² → ✅ 4) 4x² - 9y → ❌ (9y – не квадрат) |
Учащиеся поднимают карточки |
|
Расследование 2: "Составление фоторобота" (Приложение 3) Задача: Выделить a и b в выражении 1) 16c² - 9d² Фоторобот: a = 4c, b = 3d 2) 0,49m² - 0,04n² Фоторобот: a = 0,7m, b = 0,2n
|
Учащиеся записывают задание в тетрадях и выполняют его |
|
Расследование 3: "Восстановление событий" (Показывает конверт) (Приложение 4) Задача: Применить формулу к простым выражениям. Сборка «пазла» из трех частей:
|
Учащиеся в парах работают над данным заданием |
- Операционно-познавательный этап
Цель этапа: формирование навыков использования формулы сокращенного умножения произведение суммы и разности двух выражений.
|
Действия учителя |
Действия учащегося |
|
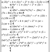
Расследование 4: "Перекрестный допрос" (учебник) № 2.339 (а-е) Работаем с – гексагоном (Приложение 5)
|
Учащиеся слушают учителя, делают записи в тетради и на раздаточном материале. |
|
Задача: В случае правильного ответа загибаем лепесток гексагона. Из букв собираем слово. Слово: ПРИВАЛ |
|
|
Физкультминутка «Поиск улик» Медленные движения глазами в разные стороны будто вы сейчас осматриваете место преступления. Теперь поверните голову налево, вверх, вниз, а теперь повернемся на 180∘. |
|
|
Кто оказался самым внимательным и заметил в кабинет незнакомый предмет? -А вы знаете, что этот такое? А вы знали, что белорусское радио отмечает свой вековой юбилей? |
Радио Учащиеся слушают объявление по радио |
|
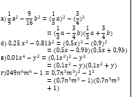
Давайте послушаем, какое задание нам необходимо выполнить следующее. «Разведка» (Приложение 6) Учебник : задание № 2.340 |
Учащиеся поочередно выполняют задания у доски
|
|
Расследование 6. «Сложное дело» Учебник № 2.341
|
|
3. Контрольно-оценочный этап урока
Цель: проверка качества усвоения учебного материала по теме «Формулы сокращенного умножения: произведение суммы и разности двух выражений»
|
Действия учителя |
Действия учащегося |
|
Мы убедились, что формула «работает в обе стороны». Закрываем наши личные дела. Наше расследование завершено. Вносим необходимые данные и заполняем таблицу баллами от 1 до 5. Считаем общее количество баллов. У кого вышло 20 баллов? 15? А меньше 15? А теперь запишите свой результат на лупе. (Приложение 7) Когда будете выходить из кабинета, прикрепите на нужную ступеньку нашей лестницы успеха (Приложение 8). Открываем дневники и запишем домашнее задание: 13,№2.360,2.361, дополнительное задание - дома сканируете код. Выставление отметок с комментариями. Ну, и за старания на уроке вы все награждаетесь сертификатами настоящего сыщика. (Приложение 9) Урок закончен, до свидания! |
Учащиеся выполняют задание
Записывают домашнее задание. Подают дневники на отметки
|
| Приложение 1 |
![]() |
| Приложение 2 |
![]() |
| Приложение 3 |
|
"Составление фоторобота" 1) 16c² - 9d² Фоторобот: a = …, b = … 2) 0,49m² - 0,04n² Фоторобот: a = …, b = … "Составление фоторобота" 1) 16c² - 9d² Фоторобот: a = …, b = … 2) 0,49m² - 0,04n² Фоторобот: a = …, b = … "Составление фоторобота" 1) 16c² - 9d² Фоторобот: a = …, b = … 2) 0,49m² - 0,04n² Фоторобот: a = …, b = …
"Составление фоторобота" 1) 16c² - 9d² Фоторобот: a = …, b = … 2) 0,49m² - 0,04n² Фоторобот: a = …, b = …
"Составление фоторобота" 1) 16c² - 9d² Фоторобот: a = …, b = … 2) 0,49m² - 0,04n² Фоторобот: a = …, b = … |
| Приложение 4 |
![]() |
| Приложение 5 |
![]() |
| Приложение 6 |
| Приложение 7 |
![]() |
| Приложение 8 |
![]() |
| Приложение 9 |
![]() |











